家长小本APP
人工智能亲子生活社区!
下载家长小本APP
亲子日记
钟诚自己写的日记

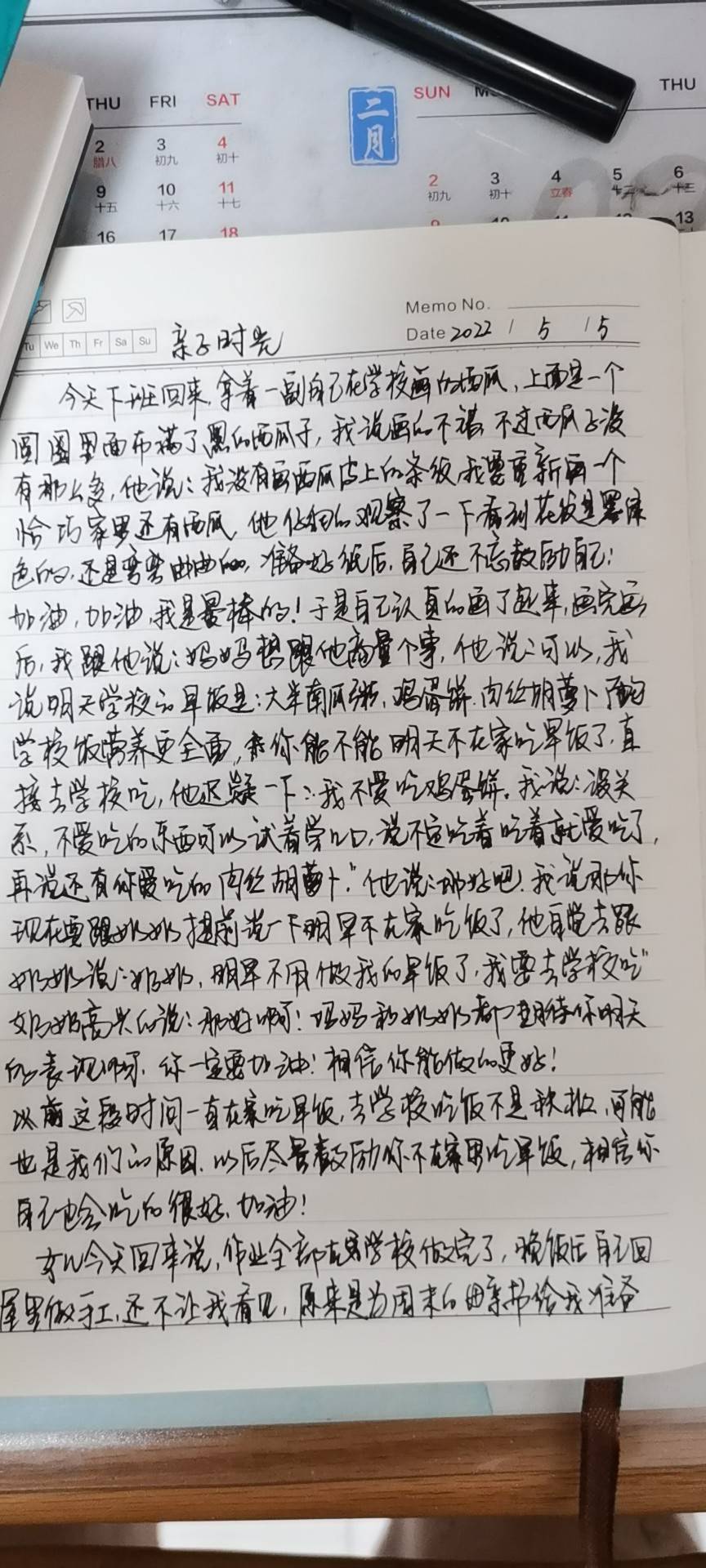
图像

图像

转载请注明来源:https://jiazhangxiaoben.com/nw/page/article/seocontent.html?id=537913
推荐日记
《繁荣路小学二年级七班刘奕帆亲子成长日记第103天》
《宝宝的进步星期四天气晴》
《二零二二年五月五四日 星期四 天气晴》
《提出批评》
《考试后的一把汗》
《面对孩子的变化20220505星期四晴》
《2022年5月5日 星期四 晴 亲子日记第103篇》
《亲子日记第74篇,记讲故事之哥俩好,天气:晴》
《在路上--第105天(适应上学模式)》
《乖乖兔的惊喜》
《129》
《2022年 5月5日 》
《礼物》
《爱》
《人间烟火——1305-495-195》
《数学课堂笔记》
《爱画画的侄子》
《爆米花》
《2022.5.5晴第98篇》
《亲子日记第614篇》
《护蛋前准备》
《2022年5月5日星期四天气晴》
《乌龟与狒狒》
《作业》
《爱画画的小女孩》
《2022.5.5号星期四晴》
《周四》
《亲子日记第938天》
《开心的一天(82篇)》
《大白鹅》
下载家长小本APP