家长小本APP
人工智能亲子生活社区!
下载家长小本APP
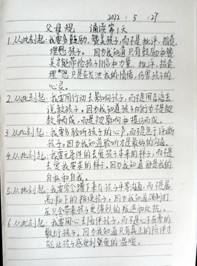
诵读《父母规》第1天(亲子日记138)
若如初见

2022年5月27日星期五 天气晴

图像

图像

转载请注明来源:https://jiazhangxiaoben.com/nw/page/article/seocontent.html?id=573914
推荐日记
《控制情绪》
《家庭日常记录 第103天》
《显示器的哲理》
《(第505篇)互相分享》
《追寻孩子的敬畏之心》
《反思》
《带娃心酸与幸福》
《幼小衔接家长应该怎么做》
《 遇见更好的自己》
《2022年5月27日 爱的陪伴 第(86)篇 》
《每天坚持打卡》
《随手记》
《繁荣路2.12周逸辰和第二实验幼儿园香小二周奕帆妈妈 亲子日记第137篇》
《随记》
《啦啦啦》
《养孩子的乐趣》
《 2022年5 月27号 晴》
《用心做父母——学习《父母规》2》
《相信,相信的力量!》
《2022年5月27日 星期五 天气晴》
《小脾气》
《亲子日记第95篇 百善孝为先》
《欣赏的重要性》
《2022.3.24 天气晴 亲子日记第324篇 王思茜妈妈》
《为什么大象用鼻子吸水却不会呛着》
《2022.5.27 星期五 阴》
《直播分享(亲子日记363)》
《学习成长改变》
《5月27日 》
《62 四月二十一,晴》
下载家长小本APP