家长小本APP
人工智能亲子生活社区!
下载家长小本APP
刘一航
刘静怡刘一航妈妈👩

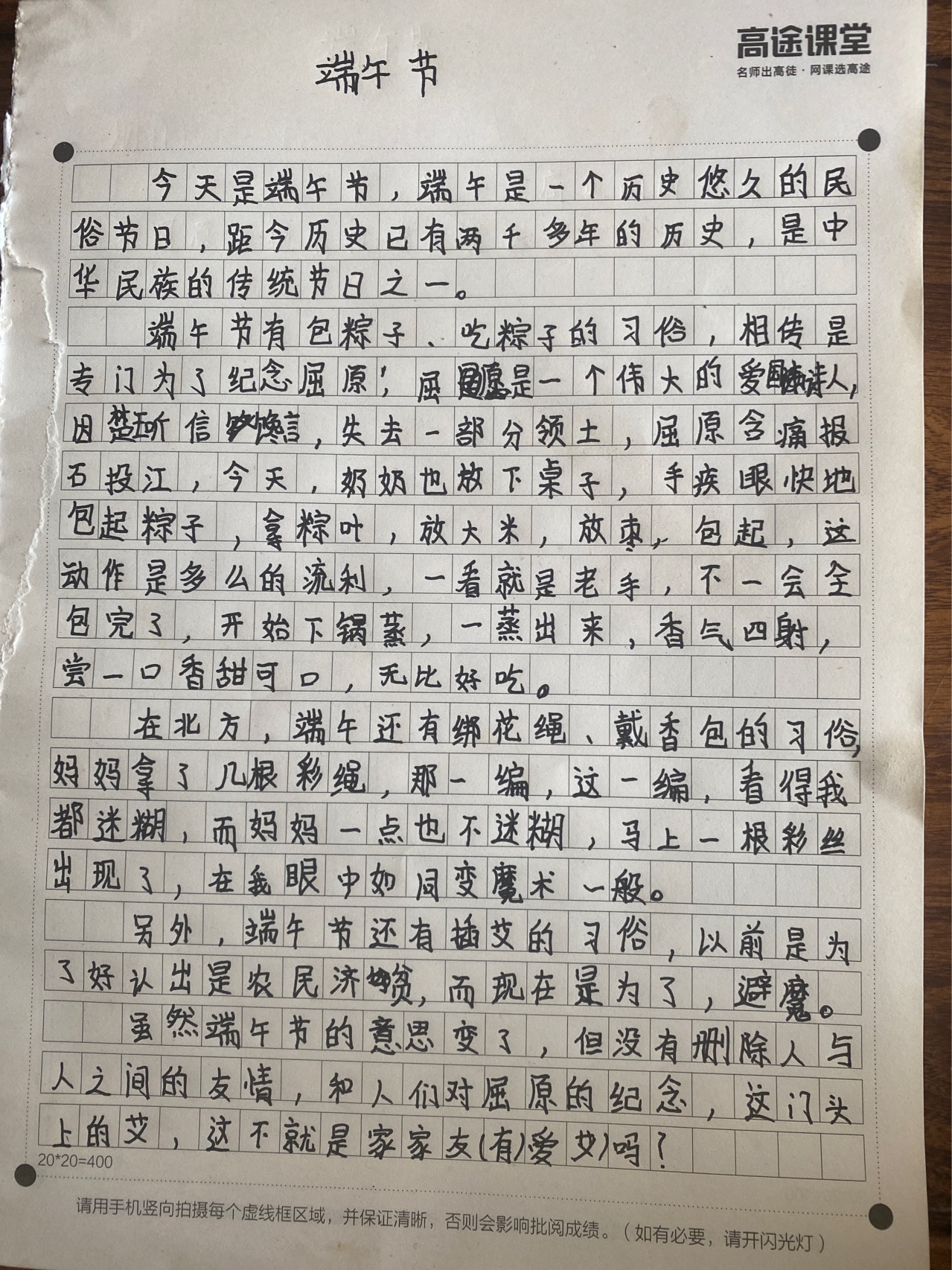
图像

转载请注明来源:https://jiazhangxiaoben.com/nw/page/article/seocontent.html?id=589663
推荐日记
《亲子日记第957篇》
《放假第三天》
《【第133篇】2022.6.5 无题》
《2022.6.4 六 晴 1043》
《变与不变》
《学习的旅途。》
《育儿育己在路上,亲子日记第226记》
《6.月6日》
《成长记——2022年6月6日 星期一(晴)》
《6月6日星期一小雨转晴,亲子日记第,165篇《鸡飞狗跳的早晨》》
《2022年6月6日,天气晴,星期一》
《做最好的班主任有感:》
《亲子日记第958篇》
《6.5》
《抓住假期的小尾巴》
《昔日的小伙伴》
《亲子日记(1317篇)》
《亲子日记第九十九篇 2022.6.5 星期日 晴》
《亲子日记》
《反思》
《学画画的一天(6月4号)》
《孩子的成长》
《浓情端午、快乐相聚》
《亲子成长日记(897)-6.6》
《2022年6月6日 晴 约定 【96】篇》
《一起劳动》
《亲子日记第961篇》
《2022年6月4日,天气小雨,星期六》
《3.亲子日记的时间该怎么挤》
《189.忍不住又开空调了》
下载家长小本APP